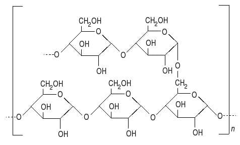
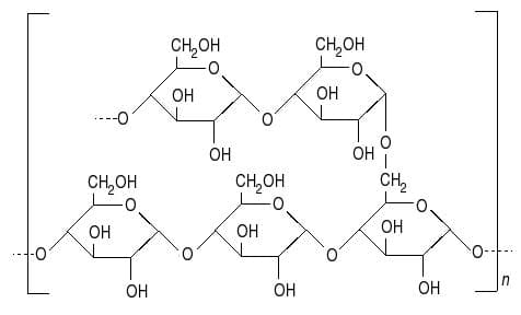
L'amidon (du latin amulum ou amylum, non moulu) est un glucide (sucre) complexe (polysaccharide ou polyoside) composé d'unités D-glucose (sucre simple). Il s'agit d'une molécule de réserve pour les végétaux supérieurs et un élément courant de l'alimentation humaine. Chez les animaux et les champignons, l'équivalent de l'amidon est le glycogène : molécule de stockage de glucides et donc d'énergie. L'amidon se trouve dans les organes de réserves de nombreuses plantes : les graines (en particulier la châtaigne, les céréales (blé, maïs, froment, etc.) et les légumineuses) ; les racines ; les tubercules et rhizomes (pomme de terre, patate douce, manioc, etc.) ; dans ce cas, il est appelé fécule et peut être extrait dans une féculerie ; les fruits (bananes, arbre à pain) où l'amidon a pour fonction de stimuler la dispersion des graines (quand il y en a). On trouve aussi de l'amidon dans les organes photosynthétiques de plantes, notamment au niveau des feuilles. Il est alors qualifié d'amidon transitoire, puisqu'il est synthétisé pendant la journée (lorsque la photosynthèse est active) et dégradé pendant la nuit pour fournir les autres organes en carbone et énergie. L'amidon est un mélange de deux homopolymères, l'amylose et l'amylopectine composés d'unités D-anhydroglucopyranose (AGU) qui appartiennent à la famille des polysaccharides (ou polyosides) de formule chimique générale (C6H10O5)n. Les unités AGU sont liées entre elles par des (1-4), en général caractéristiques des polyosides de réserve (à l'exception de l'inuline) et des (1-6) qui sont à l'origine de ramifications dans la structure de la molécule. Ces deux homopolymères, qui diffèrent par leur degré de branchement et leur degré de polymérisation sont : l'amylose, légèrement ramifié avec de courtes branches et dont la masse moléculaire peut être comprise entre . La molécule est formée de de glucose ; l'amylopectine ou isoamylose, molécule ramifiée avec de longues branches toutes les 24 à 30 unités glucose par l'intermédiaire des (1-6).
Anders Meibom, Niclas Heidelberg Lyndby, Sandrine Denise Françoise Bessette, Michael Kühl
Karen Scrivener, Mohsen Ben Haha, Frank Bullerjahn