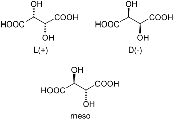
L'acide tartrique est le nom usuel de l'acide 2,3-dihydroxybutanedioïque qui a pour formule brute . C'est un acide α-hydroxylé. Sa formule semi-développée est HOOC-CHOH-CHOH-COOH. L'acide tartrique est présent dans de nombreuses plantes. Il fut isolé pour la première fois en 1769, par le chimiste suédois Carl Wilhelm Scheele, qui fit bouillir du tartre avec de la craie et décomposa le produit en présence d'acide sulfurique. Il peut être synthétisé. C'est le principal acide du vin (provenant du raisin), sous sa forme naturelle c'est-à-dire L-(+). Les ions tartrates sont utilisés dans la liqueur de Fehling pour tester la présence d'aldéhydes. Le tartrate de potassium évite une cristallisation du vin en bouteille, phénomène exploité dès l'Antiquité par les Grecs et les Romains. L'acide tartrique possède deux atomes de carbone asymétriques mais ne possède que trois stéréoisomères car le (R,S)-acide tartrique est une forme achirale dite « méso » car possédant deux atomes de carbone asymétriques tout en ayant un centre de symétrie au milieu de ces deux atomes de carbone. L'acide nitrique oxyde l'acide tartrique en acide oxalique, tandis que l'acide sulfurique concentré le convertit en acide acétique. Chauffé en présence de dioxyde de manganèse et d'acide sulfurique dilué, il se décompose en et en acide formique. Une distillation à sec en présence d'hydrogénosulfate de potassium produit de l'acide pyruvique. Il se présente sous la forme de cristaux transparents incolores solubles dans l'eau. La présence d'acide tartrique peut être testée par le résorcinol. L'acide tartrique active la salivation ; il est légèrement laxatif et diurétique. Les bases conjuguées de l'acide tartrique sont l'ion tartrate, −OOC-(CHOH)2-COO− et l'ion bitartrate ou hydrogénotartrate, HOOC-(CHOH)2-COO−. Ainsi un des sels les plus communs est le (2R,3R)-bitartrate de potassium, un énantiomère présent dans le raisin et le vin. vignette|gauche|150px|Acide L-(+)-tartrique vignette|gauche|150px|Acide D-(−)-tartrique Louis Pasteur a étudié l'activité optique des isomères optiques des tartrates.
Kay Severin, Farzaneh Fadaei Tirani, Albert Ruggi, Anastasia Gitlina, Carolina Luciana Plaice