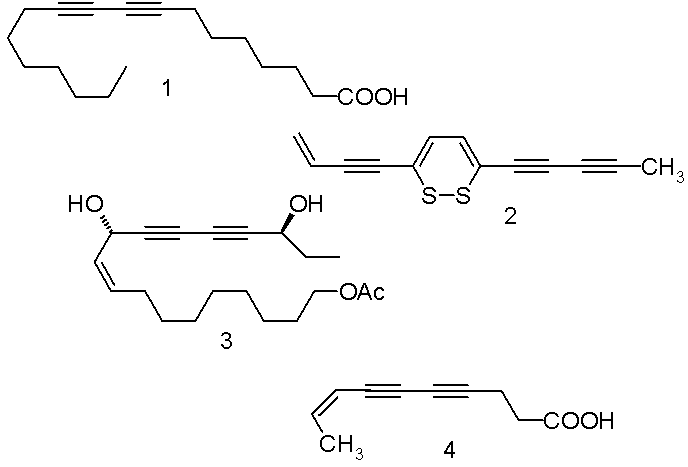
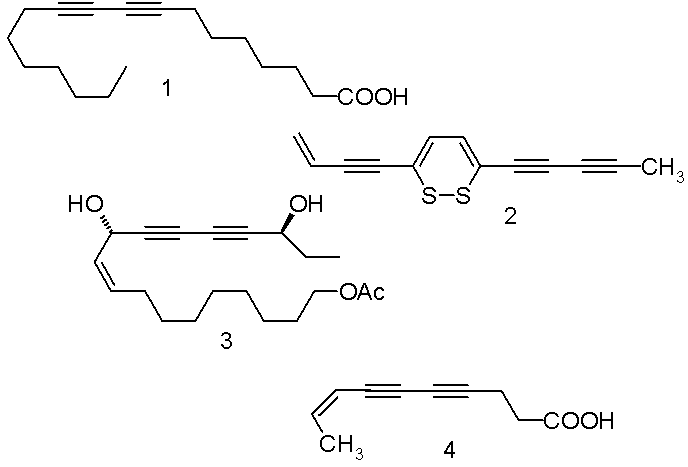
A polyyne is any organic compound with alternating single and triple bonds; that is, a series of consecutive alkynes, with n greater than 1. These compounds are also called polyacetylenes, especially in the natural products and chemical ecology literature, even though this nomenclature more properly refers to acetylene polymers composed of alternating single and double bonds with n greater than 1. They are also sometimes referred to as oligoynes, or carbinoids after "carbyne" , the hypothetical allotrope of carbon that would be the ultimate member of the series. The synthesis of this substance has been claimed several times since the 1960s, but those reports have been disputed. Indeed, the substances identified as short chains of "carbyne" in many early organic synthesis attempts would be called polyynes today. The simplest polyyne is diacetylene or butadiyne, . Along with cumulenes, polyynes are distinguished from other organic chains by their rigidity and high conductivity, both of which make them promising as wires in molecular nanotechnology. Polyynes have been detected in interstellar molecular clouds where hydrogen is scarce. The first reported synthesis of a polyyne was performed in 1869 by Carl Andreas Glaser, who observed that copper phenylacetylide () undergoes oxidative dimerization in the presence of air to produce diphenylbutadiyne (). Interest in these compounds has stimulated research into their preparation by organic synthesis by several general routes. As a main synthetic tool usually acetylene homocoupling reactions like the Glaser coupling or its associated Elinton and Hay protocols are used. Moreover, many of such procedures involve a Cadiot–Chodkiewicz coupling or similar reactions to unite two separate alkyne building-blocks or by alkylation of a pre-formed polyyne unit. In addition to that, Fritsch–Buttenberg–Wiechell rearrangement was used as crucial step during the synthesis of the longest known polyyne (). An elimination of chlorovinylsilanes was used as a final step in the synthesis of the longest known phenyl end-capped polyynes.