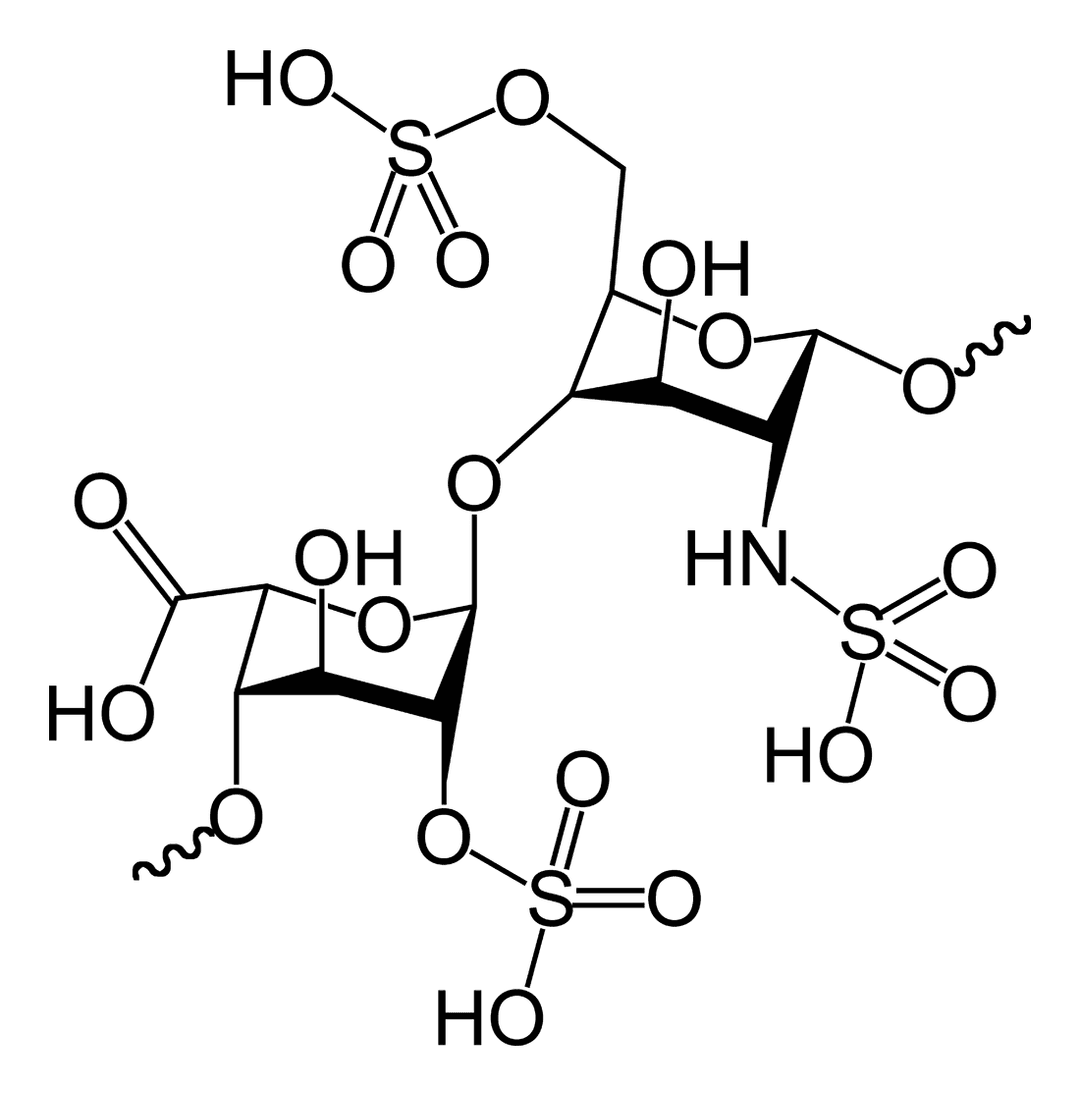
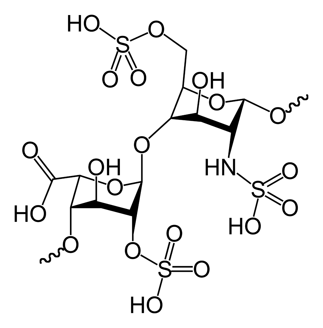
L’héparine (en grec ancien ἧπαρ hepar « foie ») est un médicament anticoagulant, c'est une molécule qui fait partie des glycosaminoglycanes (GAG). Les oses constitutifs sont : la N-acétylglucosamine et des acides iduroniques. Sa structure, difficile à étudier, est souvent controversée. C'est un mélange de différents polymères essentiellement constitués d'unités disaccharidiques trisulfatées : l'acide L-iduronique-2-O-sulfate (90 % de ses composants) ; D-glucosamine-N-sulfate, 6-O-sulfate (10 % de ses composants). C'est une substance ayant des propriétés anticoagulantes extrêmement puissantes. Elle est fréquemment utilisée pour son action sur la thrombose. Elle est administrée par voie sous-cutanée ou intraveineuse, selon la dose à administrer. Elle active une protéine plasmatique : l'antithrombine III. Cette protéine de la famille des inhibiteurs de sérine protéase est un inhibiteur naturel des protéases impliquées dans la cascade de la coagulation (facteurs XIIa, XIa, IXa, Xa, IIa). Une fois liées à l'héparine (via des séquences particulières), ses actions inhibitrices sur les différentes protéases de la coagulation sont démultipliées. L'héparine présente un grand nombre de propriétés non exploitées encore en thérapeutique : métabolisme des lipides, anti-inflammatoire, anti-infectieux. Elle est présente naturellement dans l'organisme au niveau des tissus conjonctifs chez l'Homme, et notamment au niveau des poumons, mais également chez les autres animaux. Elle est sécrétée notamment par les mastocytes (cellules de l'immunité non spécifique) lors de la réponse immunitaire. L'héparine est extraite industriellement d'intestin de porc (Europe) ou de poumon de bœuf. Les abats d'autres mammifères d'élevage peuvent être utilisés comme sources secondaires. L'héparine est utilisée le plus souvent en perfusion continue. Elle a les avantages, par rapport aux héparines de bas poids moléculaire, d'être de durée de vie courte et de pouvoir être antagonisée par de la protamine en cas de complications.
Francesco Stellacci, Valeria Cagno, Matteo Gasbarri
Christian Heinis, Xudong Kong, Jonas Alfred Karl Wilbs, Simon Jan Middendorp, Patrick Andreas Gonschorek, Christina Lamers