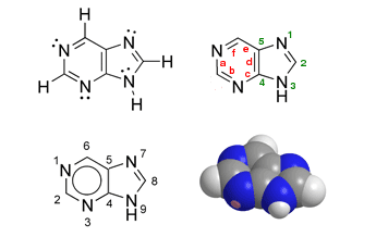
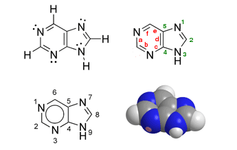
La purine est une molécule azotée hétérocyclique constituée d'un cycle pyrimidine fusionné à un cycle imidazole. C'est l'hétérocycle azoté le plus répandu dans la nature. Parmi les neuf tautomères possibles du noyau purine, les formes CH (C2H, C4H, C5H, C6H et C8H), ainsi que les formes N1H et N3H peuvent être négligées car très peu probables (rupture d'aromaticité), seules les formes N7H et surtout N9H (99 %) existent en solution neutre. Le noyau purine nu n'existe pas dans la nature. On trouve en revanche de nombreux dérivés aminés, hydroxylés ou méthylés, souvent sous forme de nucléosides, qui sont inclus dans le terme général purines. Deux des bases nucléiques présentes dans tous les acides nucléiques sont des purines : l'adénine et la guanine. Dans l'ADN, ces bases forment des liaisons hydrogène avec les pyrimidines complémentaires, la thymine et la cytosine. La xanthine, l'hypoxanthine et l'acide urique sont d'autres purines résultant de la dégradation des bases puriques (adénine et guanine) ; la caféine, la théobromine et la théophylline sont classées parmi les alcaloïdes. Les purines, en plus d'être des composants de l'ADN et de l'ARN, se retrouvent dans des biomolécules importantes, telles que l'ATP, GTP, AMP cyclique, NADP, SAM ou coenzyme A. La molécule d'ATP est particulièrement importante car elle est la source d'énergie pour les cellules vivantes et le cofacteur de nombreuses enzymes comme les protéine kinases. Le noyau purine constitue une plate-forme privilégiée en chimie médicinale, à partir de laquelle de très nombreux dérivés et analogues ont été élaborés, possédant diverses propriétés pharmacologiques remarquables et conduisant même, dans certains cas, à des médicaments. Adenine.svg|L'[[adénine]] (A), une des bases des acides nucléiques, est une purine. Elle est la base complémentaire d'une pyrimidine : la thymine (T) (dans l'ADN) ou l'[[uracile]] (U) (dans l'[[acide ribonucléique|ARN]]). Guanin.svg|La [[guanine]] (G), une des bases des acides nucléiques, est une purine.