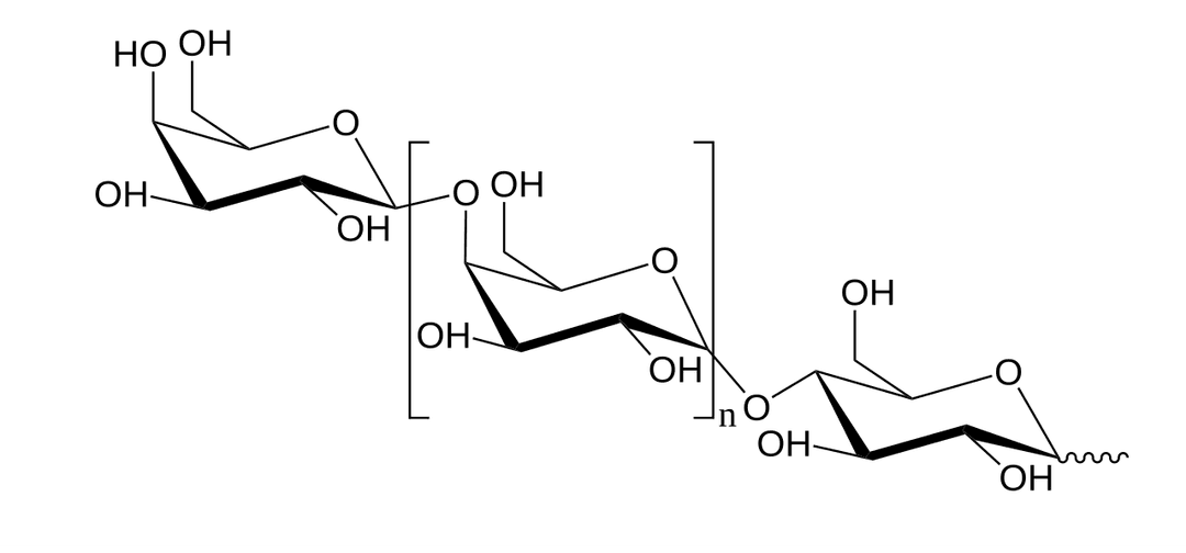
vignette|Exemple de prébiotique, un galactooligosaccharide. Les prébiotiques sont des substances alimentaires composées généralement de glucides complexes connus sous le vocable d'oligosaccharides et de polysaccharides à courte chaîne, étant définis comme « un substrat qui est utilisé sélectivement par les microorganismes de l'hôte pour conférer des bénéfices sur la santé ». On distingue les prébiotiques des probiotiques de par leur action sur les micro-organismes, tandis que les probiotiques sont eux-mêmes un ou plusieurs micro-organismes ayant des effets bénéfiques sur la santé. Les prébiotiques peuvent également être des polyphénols ou des acides gras polyinsaturés. Les prébiotiques sont généralement considérés comme non digestibles par l'humain et ne sont digérés que par les microorganismes de l'hôte, le plus souvent en acides gras à chaine courte. Ces composés, constitués approximativement de deux à vingt unités de carbone, échappent à la digestion dans l’intestin grêle et sont des substrats potentiels pour l'hydrolyse et la fermentation par les bactéries intestinales. Les prébiotiques doivent agir comme substrat sélectif d’une ou d’un nombre restreint de souches bactériennes bénéfiques qui résident dans le côlon et en stimuler la croissance. Les bifidobactéries et les lactobacilles sont les micro-organismes du microbiote intestinal (flore intestinale) les plus fréquemment ciblés. Tout comme pour le côlon, l'utilisation de prébiotiques permet de rééquilibrer la flore vaginale et de lutter contre les agressions. Ils peuvent ainsi être utilisés pour diminuer le risque d’infections vaginales, de mycoses vaginales, de vaginites ou de vaginoses (infections vaginales bactériennes). Des recherches récentes analysent les effets possibles des post-biotiques, métabolites issus du microbiote digestif, ou des synbiotiques (association de pré-/probiotiques utilisés en compléments alimentaires) qui auraient un rôle analogue dans une alimentation équilibrée et favoriseraient une meilleure homéostasie intestinale.
Johan Auwerx, Evan Graehl Williams
Theo Lasser, Tristan Bolmont, Taoufiq Harach
Nicola Harris, Eva Sabrina Gollwitzer, Benjamin John Marsland