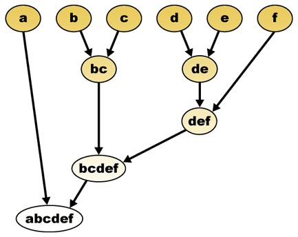
Taxonomy is the practice and science of categorization or classification. A taxonomy (or taxonomical classification) is a scheme of classification, especially a hierarchical classification, in which things are organized into groups or types. Among other things, a taxonomy can be used to organize and index knowledge (stored as documents, articles, videos, etc.), such as in the form of a library classification system, or a search engine taxonomy, so that users can more easily find the information they are searching for. Many taxonomies are hierarchies (and thus, have an intrinsic tree structure), but not all are. Originally, taxonomy referred only to the categorisation of organisms or a particular categorisation of organisms. In a wider, more general sense, it may refer to a categorisation of things or concepts, as well as to the principles underlying such a categorisation. Taxonomy organizes taxonomic units known as "taxa" (singular "taxon")." Taxonomy is different from meronomy, which deals with the categorisation of parts of a whole. The word was coined in 1813 by the Swiss botanist A. P. de Candolle and is irregularly compounded from the Greek τάξις, taxis 'order' and νόμος, nomos 'law', connected by the French form -o-; the regular form would be , as used in the Greek reborrowing ταξινομία. Wikipedia categories form a taxonomy, which can be extracted by automatic means. , it has been shown that a manually-constructed taxonomy, such as that of computational lexicons like WordNet, can be used to improve and restructure the Wikipedia category taxonomy. In a broader sense, taxonomy also applies to relationship schemes other than parent-child hierarchies, such as network structures. Taxonomies may then include a single child with multi-parents, for example, "Car" might appear with both parents "Vehicle" and "Steel Mechanisms"; to some however, this merely means that 'car' is a part of several different taxonomies. A taxonomy might also simply be organization of kinds of things into groups, or an alphabetical list; here, however, the term vocabulary is more appropriate.
Simon Nessim Henein, Florent Cosandier, Hubert Pierre-Marie Benoît Schneegans
Kristin Schirmer, Marco Baity-Jesi, Fernando Perez Cruz
Boi Faltings, Robert West, Maxime Jean Julien Peyrard, Martin Josifoski, Valentin Hartmann, Debjit Paul, Jiheng Wei, Frano Rajic