Nava SetterNava Setter completed MSc in Civil Engineering in the Technion (Israel) and PhD in Solid State Science in Penn. State University (USA) (1980). After post-doctoral work at the Universities of Oxford (UK) and Geneva (Switzerland), she joined an R&D institute in Haifa (Israel) where she became the head of the Electronic Ceramics Lab (1988). She began her affiliation with EPFL in 1989 as the Director of the Ceramics Laboratory, becoming Full Professor of Materials Science and Engineering in 1992. She had been Head of the Materials Department in the past and more recently has served as the Director of the Doctoral School for Materials.
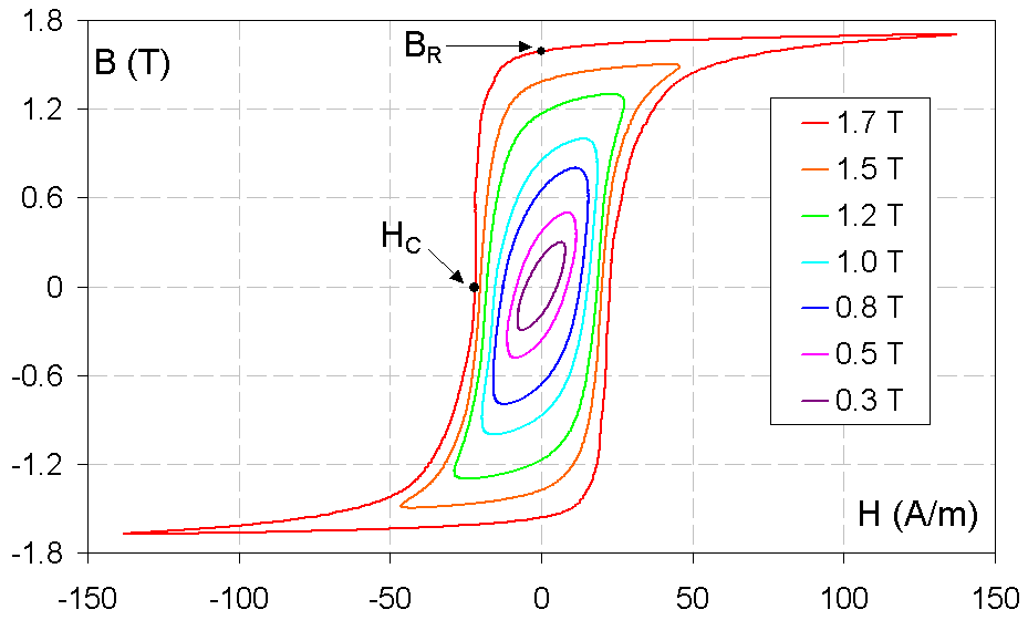
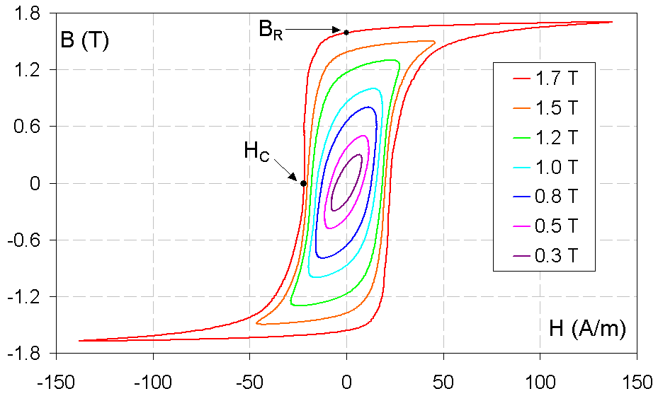
Research at the Ceramics Laboratory, which Nava Setter directs, concerns the science and technology of functional ceramics focusing on piezoelectric and related materials: ferroelectrics, dielectrics, pyroelectrics and also ferromagnetics. The work includes fundamental and applied research and covers the various scales from the atoms to the final devices. Emphasis is given to micro- and nano-fabrication technology with ceramics and coupled theoretical and experimental studies of the functioning of ferroelectrics.
Her own research interests include ferroelectrics and piezoelectrics: in particular the effects of interfaces, finite-size and domain-wall phenomena, as well as structure-property relations and the pursuit of new applications. The leading thread in her work over the years has been the demonstration of how basic or fundamental concepts in materials - particularly ferroelectrics - can be utilized in a new way and/or in new types of devices. She has published over 450 scientific and technical papers.
Nava Setter is a Fellow of the Swiss Academy of Technical Sciences, the Institute of Electrical and Electronic Engineers (IEEE), and the World Academy of Ceramics. Among the awards she received are the Swiss-Korea Research Award, the ISIF outstanding achievement award, and the Ferroelectrics-IEEE recognition award. In 2010 her research was recognized by the European Union by the award of an ERC Advanced Investigator Grant. Recently she received the IEEE-UFFC Achievement Award (2011),the W.R. Buessem Award(2011), the Robert S. Sosman Award Lecture (American Ceramics Society) (2013), and the American Vacuum Society Recognition for Excellence in Leadership (2013).
Alexander TagantsevALEXANDER K. TAGANTSEV received the B.S. degree from St. Petersburg State University, in 1974, and Ph.D. degree from Ioffe Physico-Technical Institute, St. Petersburg, Russia, in 1982 in solid state physics. Before 1993, he worked in Ioffe Physico-Technical Institute, (1991-1993, head of laboratory), and St. Petersburg State Technical University (1991-1993, professor). He joined the ceramics laboratory of EPFL in 1993 where he was leading ( up to 2016) the section for Modeling and theory of Electroceramics. He is also currently engaged as a principle research fellow at Ioffe institute (St. Petersburg, Russia). Tagantsev is a theoretician of a broad domain of expertise from ferroelectricity and phonon physics to electrodynamics of superconductors and quantum optics. He is the author of key results on the theory of microwave dielectrics loss, dielectric polarization in crystalline materials, and relaxor ferroelectricity. He is also known in the field of ferroelectric thin films for elucidating works on the polarization switching and degradation in these systems. He authored or co-authored more than 300 scientific articles and two monograph (on domains in ferroics and tunable film bulk acoustic wave resonators). In 2007, Prof. Tagantsev was entitled to the Honors for lifetime achievement in the field of integrated ferroelectrics by the International Symposium on Integrated Ferroelectrics.
Dragan DamjanovicDragan Damjanovic received BSc diploma in Physics from the Faculty of Natural Sciences and Mathematics, University of Sarajevo, in 1980, and PhD in Ceramics Science from the Department of Materials Science and Engineering, College of Earth and Mineral Sciences, the Pennsylvania State University (PSU) in 1987. From 1988 to 1991 he was a research associate in the Materials Research Laboratory at the PSU. He joined the Ceramics Laboratory, Department of Materials Science and Engineering, Ecole polytechnique fédérale de Lausanne in 1991. He is currently a "professeur titulaire", heads the Group for Ferroelectrics and Functional Oxides at the Institute of Materials and teaches undergraduate and graduate courses on structure and electrical properties of materials. The research activities include fundamental and applied investigations of piezoelectric, ferroelectric and dielectric properties of a broad class of materials.
Henrik Moodysson RønnowHenrik Ronnow was born in Copenhagen in 1974. He was awarded his master's degree in physics in 1996. Having earned his doctorate in 2000, he left Denmark for training at the Laue-Langevin Institute in Grenoble. Between 2000 and 2002, he held a Marie Curie Fellowship hosted by the Atomic Energy Commission. In 2002 he was appointed as an invited researcher at the NEC Laboratories in Princeton, then at the University of Chicago's James Franck Institute. In 2003, he became a researcher at the Laboratory for Neutron Scattering (Swiss Federal Institute of Technology in Zurich) and at the Paul Scherrer Institute. In 2007 he was appointed Assistant Professor at Ecole Polytechnique federale de Lausanne (EPFL). In 2012 he was promoted to Associate Professor. Profession 2012- Associate Professor, Laboratory for Quantum Magnetism, EPFL, Switzerland 2007-2012 Assistant Professor, Laboratory for Quantum Magnetism, EPFL, Switzerland 2003-2006 Scientist, Laboratory for Neutron Scattering, ETH-Zürich & Paul Scherrer Institute, Switzerland 2002-2003 Visiting Scientist, NEC-Laboratories Inc., Princeton, and James Franck Institute, University of Chicago, USA 2000-2002 Marie Curie Fellowship funded by the EU, hosted by Commissariat à l'Energie Atomique, Grenoble, France 2000 Postdoc, Institut Laue-Langevin, Grenoble, France 1996 Research assistant, Risø National Laboratory, Denmark Education 2000 Ph.D. in Physics, Risø National Laboratory and University of Copenhagen: Aspects of quantum magnetism in one, two and three dimensions 1996 M.Sc. in Physics, University of Copenhagen: Magnetic properties of holmium-erbium alloys 1995 B.Sc in Mathematics, University of Copenhagen 1994 B.Sc in Physics, University of Copenhagen 1992 High school graduate, Natural Sciences, Scolae Academiae Sorana
Jean-Philippe AnsermetJean-Philippe Ansermet was born March 1, 1957 in Lausanne (legal origin Vaumarcus, NE). He obtained a diploma as physics engineer of EPFL in 1980. He went on to get a PhD from the University of Illinois at Urbana-Champaign where, from 1985 to 1987, he persued as post-doc with Prof. Slichter his research on catalysis by solid state NMR studies of molecules bound to the surface of catalysts. From 1987 to 1992 he worked at the materials research center of Ciba-Geigy, on polymers for microelectronics, composites, dielectrics and organic charge transfer complexes. In March 1992, as professor of experimental physics, he developed a laboratory on the theme of nanostructured materials and turned full professor in 1995. Since 1992, he teaches classical mechanics, first to future engineering students, since 2004 to physics majors. Since 2000, he teaches thermodynamics also, to the same group of students. He offers a graduate course in spintronics, and another on spin dynamics. His research activities concern the fabrication and properties of magnetic nanostructures produced by electrodeposition. His involvement since the early days of spintronics have allowed him to gain recognition for his work on giant magnetoresistance (CPP-GMR), magnetic relaxation of single nanostructures, and was among the leading groups demonstrating magnetization reversal by spin-polarized currents. Furthermore, his group uses nuclear magnetic resonance , on the one hand as means of investigation of surfaces and electrodes, on the other hand, as a local probe of the electronic properties of complex ferromagnetic oxides.
Harald BruneOriginaire de Münich en Allemagne, né en 1961, Harald Brune obtient son diplôme en physique de l'Université Ludwig Maximilians en 1989. Après une thèse en chimie physique à l'Institut Fritz-Haber de la Société Max-Planck à Berlin il obtient son titre de docteur ès sciences en 1992. Dès cela, il rejoint le groupe du Prof. K. Kern à l'Institut de physique expérimentale à l'EPFL. En 1995 il est chercheur invité à Copenhague travaillant en modélisation chez le Prof. J. Nørskov. De retour à l'EPFL, il se voit décerné le prix Latsis EPFL 1996 pour ses études par microscopie à effet tunnel de processus atomiques déterminants la croissance cristalline de couches minces. En 1998 il obtient son habilitation (venia legendi) en Physique et est nommé Maître d'enseignement et de recherche (MER) en nanophysique à l'EPFL. La même année il recoit une offre de Professeur Ordinaire (C4) de l'Université Philipps de Marburg. Début 1999 il réfuse cette offre et accepte un poste de Professeur Extraordinaire à l'EPFL et s'installe au sein de l'Institut de la Physique des Nanostructures. Il est nommé Professeur Ordinaire en 2005. Sa recherche porte sur les propriétés physiques (en particulier le magnétisme et la structure électronique) de nouvelles formes de la matière condensée comme des nanostructures et des couches ultra-minces. Il s'intéresse également à la catalyse hétérogène sur des systèmes inspirés dans leur composition et taille par celle des sites actives dans les enzymes en biologie. Il enseigne la Physique Générale pour ingénieurs, la Physique des matériaux solides pour physiciens, les méthodes expérimentales pour physiciens, ainsi que la Physique des surfaces, interfaces et nanostrcutures à l'école doctorale.
Show more