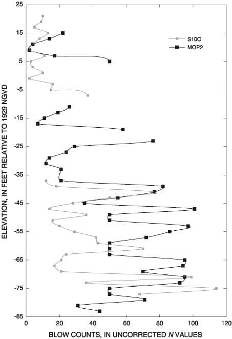
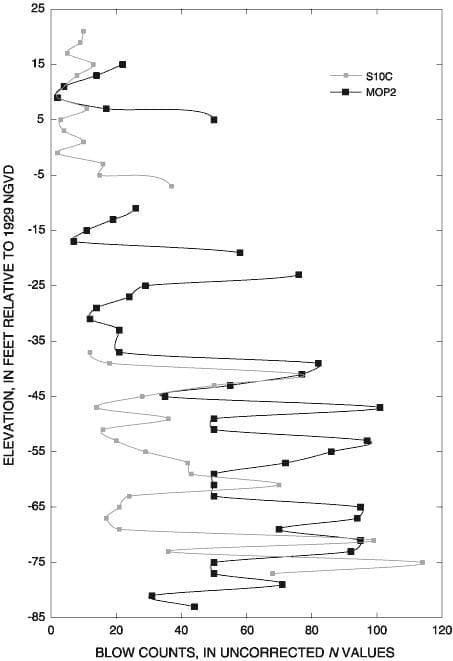
The standard penetration test (SPT) is an in-situ dynamic penetration test designed to provide information on the geotechnical engineering properties of soil. This test is the most frequently used subsurface exploration drilling test performed worldwide. The test procedure is described in ISO 22476-3, ASTM D1586 and Australian Standards AS 1289.6.3.1. The test provides samples for identification purposes and provides a measure of penetration resistance which can be used for geotechnical design purposes. Various local and widely published international correlations that relate blow count, or N-value, to the engineering properties of soils are available for geotechnical engineering purposes. A borehole shall be advanced incrementally to permit intermittent or continuous sampling. Intervals are typically 1.5 m (5 ft) or less in homogeneous strata. Tests and sampling should be done at every change in strata. After the borehole has been advanced to a desired depth and excess cuttings have been removed, testing and sampling can be conducted. The test uses a thick-walled sampling tube, with an outside diameter of 5.08 cm and an inside diameter of 3.5 cm, and a length of around 65 cm. The sampling tube is driven into the ground at the bottom of a borehole by blows from a hammer with a mass of 63.5 kg (140 lb) falling a distance of 76 cm (30 in). The sample tube is driven a total of 45 cm into the ground and the number of blows needed for the tube to penetrate each 15 cm (6 in) interval up to a depth of 45 cm (18 in) is recorded. The sum of the number of blows required for the second and third 15 cm (6 in) intervals of penetration is termed the "standard penetration resistance" or the "N-value". N-value provides an indication of the density of the ground, and it is used in many empirical geotechnical engineering formulae. The test may be stopped if any of the following conditions are met: (1) a total of 50 blows have been applied in any one of the 15 cm (6 in) intervals, (2) a total of 100 blows have been applied over the total 45 cm (18 in) depth, or (3) there is no observed advance of the sampling tube during 10 successive blows.
Roland Logé, Jamasp Jhabvala, Hossein Ghasemi Tabasi, Markus Strobl, Michaël Meyer
Lyesse Laloui, Alessio Ferrari, Eleonora Crisci