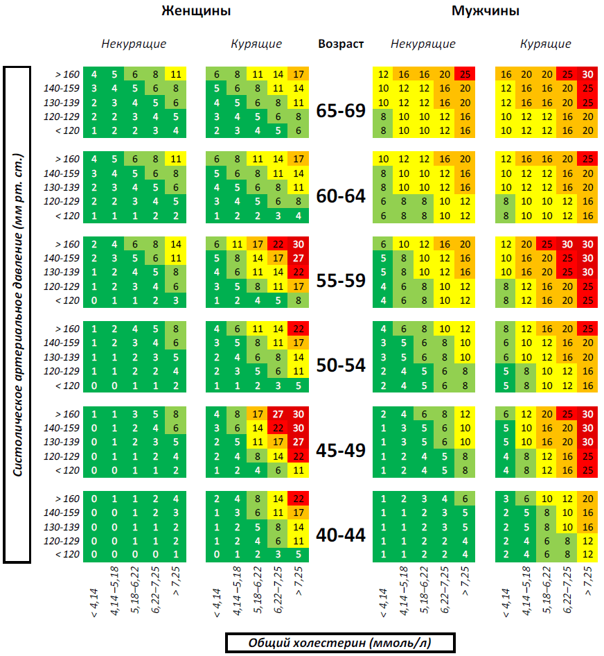
The Framingham Risk Score is a sex-specific algorithm used to estimate the 10-year cardiovascular risk of an individual. The Framingham Risk Score was first developed based on data obtained from the Framingham Heart Study, to estimate the 10-year risk of developing coronary heart disease. In order to assess the 10-year cardiovascular disease risk, cerebrovascular events, peripheral artery disease and heart failure were subsequently added as disease outcomes for the 2008 Framingham Risk Score, on top of coronary heart disease. The Framingham Risk Score is one of a number of scoring systems used to determine an individual's chances of developing cardiovascular disease. A number of these scoring systems are available online. Cardiovascular risk scoring systems give an estimate of the probability that a person will develop cardiovascular disease within a specified amount of time, usually 10 to 30 years. Because they give an indication of the risk of developing cardiovascular disease, they also indicate who is most likely to benefit from prevention. For this reason, cardiovascular risk scores are used to determine who should be offered preventive drugs such as drugs to lower blood pressure and drugs to lower cholesterol levels. For example, nearly 30% of coronary heart disease (CHD) events in both men and women were singularly attributable to blood pressure levels that exceeded high normal (≥130/85), showing that blood pressure management and monitoring is paramount both to cardiovascular health and prediction of outcomes. Because risk scores such as the Framingham Risk Score give an indication of the likely benefits of prevention, they are useful for both the individual patient and for the clinician in helping decide whether lifestyle modification and preventive medical treatment and for patient education, by identifying men and women at increased risk for future cardiovascular events. Coronary heart disease (CHD) risk at 10 years in percent can be calculated with the help of the Framingham Risk Score.
Jacques Fellay, Christian Axel Wandall Thorball, Stéphane Fournier, Roxane De La Harpe
Jacques Fellay, Flavia Aurelia Shoko Hodel, Christian Axel Wandall Thorball, Zhi Ming Xu, Roxane De La Harpe
Jacques Fellay, Christian Axel Wandall Thorball